简介
牛顿迭代法(简称牛顿法)由英国著名的数学家牛顿爵士最早提出。但是,这一方法在牛顿生前并未公开发表。

牛顿法的作用是使用迭代的方法来求解函数方程的根。简单地说,牛顿法就是不断求取切线的过程。
对于形如f(x)=0的方程,首先任意估算一个解x0,再把该估计值代入原方程中。由于一般不会正好选择到正确的解,所以有f(x)=a。这时计算函数在x0处的斜率,和这条斜率与x轴的交点x1。
f(x)=0中精确解的意义是,当取得解的时候,函数值为零(即f(x)的精确解是函数的零点)。因此,x1比x0更加接近精确的解。只要不断以此方法更新x,就可以取得无限接近的精确的解。
但是,有可能会遇到牛顿迭代法无法收敛的情况。比如函数有多个零点,或者函数不连续的时候。
牛顿法举例
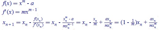
下面介绍使用牛顿迭代法求方根的例子。牛顿迭代法是已知的实现求方根最快的方法之一,只需要迭代几次后就能得到相当精确的结果。
首先设x的m次方根为a。

下面程序使用牛顿法求解平方根。
1 const float EPS = 0.00001;
2 int sqrt(double x) {
3 if(x == 0) return 0;
4 double result = x; /*Use double to avoid possible overflow*/ 5 double lastValue;
6 do{
7 lastValue = result;
8 &nbs

