时域:

----------------------------------------------------------------------------------------------------------------------

LMS滤波器

iOS培训,Swift培训,苹果开发培训,移动开发培训

参数更新公式:

 iOS培训,Swift培训,苹果开发培训,移动开发培训

权重更新收到输入信号的能量影响较大,输入信号能量越大,步长取值应该较小,保证不容易发散。

步长太大,容易发散。

步长太小,稳定,但是收敛速度慢,相互矛盾。

缺点:

1.逐个点更新,计算量大

2.瞬时跟踪能力较弱

 

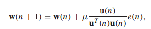
NLMS滤波器

将输入信号的能量iOS培训,Swift培训,苹果开发培训,移动开发培训融合入权重更新公式,则

iOS培训,Swift培训,苹果开发培训,移动开发培训

iOS培训,Swift培训,苹果开发培训,移动开发培训

 

优点:对于不太平稳的语音,相对LMS,也有较快的收敛性和平稳性。

 

计算量问题:

LMS算法:M阶自适应滤波器作用,有M次乘法,权重因子更新,则有M+1次乘法。M阶滤波器走一圈,则有2M+1次乘法。

NLMS算法:需要加上额外的能量乘法计算,则有3M+2次乘法。

计算量都正比于M阶系数。iOS培训,Swift培训,苹果开发培训,移动开发培训

对于NLMS中能量的计算,可以用平均能量做平滑进行估计,减小计算量:iOS培训,Swift培训,苹果开发培训,移动开发培训

 

延伸阅读

学习是年轻人改变自己的最好方式-Java培训,做最负责任的教育,学习改变命运,软件学习,再就业,大学生如何就业,帮大学生找到好工作,lphotoshop培训,电脑培训,电脑维修培训,移动软件开发培训,网站设计培训,网站建设培训学习是年轻人改变自己的最好方式